
MULTIPLE LINEAR REGRESSION ROUTINES (TREND ROUTINES, ETC.)
FORTRAN CODE for solving general N X N linear
system
FORTRAN CODE for numerically solving ordinary differential
equations (ODE's)
FORTRAN CODE for Empirical Orthogonal Function (EOF) analysis of data.
FORTRAN CODE for Fast Fourier Transform analysis of data. The
first step
SHORT GLOSSARY (GIF IMAGES):
PAGE1,
PAGE2,
PAGE3,
PAGE4,
PAGE5,
PAGE6
SHORT GLOSSARY (text file from University of Illinois)
WHAT IS A DOBSON UNIT? (GIF IMAGE)
HOW IS COLUMN OZONE COMPUTED? (GIF IMAGE)
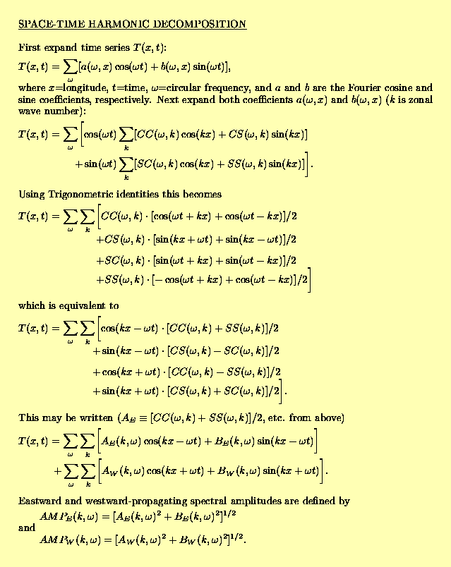
SPACE TIME HARMONIC DECOMPOSITION (GIF IMAGE)
MISCELLANEOUS SCIENCE COMPUTER PROGRAMS AND IMAGES
NASA Goddard homepage for tropospheric ozone (data, images, publications)
Goddard Earth Science and Technology Center (GEST)
UMBC Homepage (non-NASA website)
NASA Aura Validation Data Center (AVDC) Homepage
Institute for Scientific Information (ISI) Citation Database
(non-NASA website)
ELECTRONIC JOURNALS via NASA Goddard Library
NASA Homepage
NASA Goddard Space Flight Center Homepage
NASA Goddard "Ozone Hole Watch" Homepage
NASA Goddard Code 614 (Chemistry and Dynamics Branch) Homepage
NASA Hubble Space Telescope
U.S. National Weather Service (non-NASA website)
Environmental Protection Agency (non-NASA website)
National Centers for Environmental Prediction (NCEP)
(non-NASA website)
University of Wisconsin SSEC Homepage (non-NASA website)
NASA/NOAA GOES Project Science Website
JISAO climate data archive (non-NASA website)
Tahiti & Darwin surface pressure, SST indices, etc.,
from the NWS (non-NASA website)
Solar 10.7 cm radio flux (etc.) data from NOAA (non-NASA website)
Sunspot number data from NOAA (non-NASA website)
UNEP Environmental Effects of Ozone Depletion: 1994 Assessment
(non-NASA website)
Realtime Weather Maps from UCAR (non-NASA website)
NASA Jet Propulsion Lab (JPL) Homepage
NCAR Homepage (non-NASA website)
Harvard University Department of Earth and Planetary
Sciences Homepage (non-NASA website)
Iowa State University Atmospheric Physics
Homepage (non-NASA website)
NOAA Homepage (non-NASA website)
Web Curator: Dr. Jerry Ziemke (UMBC GEST, and NASA GSFC Code 614)
Responsible NASA organization/official: Dr. P. K. Bhartia, Atmospheric Chemistry and Dynamics Branch, Code 614